Solutions for Thickening, Sagging, and Storage Stability Problems in Waterborne SystemsThickener | Coadd™ U-6299
Release time: 2026-01-21
Are you facing these challenges when formulating waterborne systems?
- Inconsistent thickening performance, requiring multiple formulation adjustments?
- Poor storage stability and sagging during application?
- Difficulty meeting environmental requirements without sacrificing performance?
Coadd™ U-6299, the non-ionic associative polyurethane thickener developed by Polywill Additives, offers an efficient and stable rheological control solution for various waterborne systems. With three core advantages, it helps your products break through formulation bottlenecks!
Multi-System Compatibility with Consistent Thickening Performance
Coadd™ U-6299 delivers excellent thickening efficiency in water-soluble resin, waterborne epoxy emulsion, waterborne alkyd, and waterborne epoxy ester systems. It performs particularly outstandingly in
Effective in 2K PU systems and delivers outstanding thickening performance even in challenging waterborne formulations.
Test 1 in epoxy system

Test 2 in 2KPU wood coating system

Test 3 in 2KPU industrial coating system

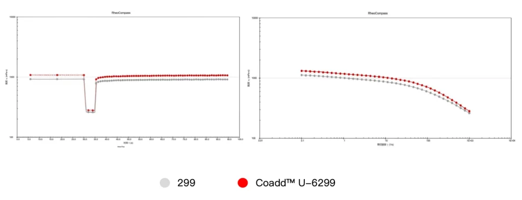
Balanced storage stability and application performance.
Coadd™ U-6299 prevents segmentation during storage, effectively enhancing storage stability. During application, its viscosity drops rapidly; coupled with excellent anti-sagging properties, it ensures smooth spraying and brushing, resulting in uniform coatings without sagging.
Test 4 in epoxy system Test 5 in 2KPU coating system

Recommended applications for Coadd™ U-6299
- Waterborne Epoxy Coatings (Flooring, Industrial Protection)
- Waterborne 2KPU Wood Coatings (Spray, Roll, Brush)
- Waterborne 2KPU Industrial Coatings (Equipment, Metal, Heavy-duty Protection)
- Waterborne Alkyd / Epoxy Ester Coatings
- Waterborne Coatings with High Storage Stability & Anti-sagging Performance
Environmental compliance with reliable performance.
Concerned about meeting environmental requirements without sacrificing coating performance? Coadd™ U-6299 meets green production standards and maintains excellent coating performance while ensuring environmental compliance.
If your formulation faces rheology control challenges, Coadd™ U-6299 is the ideal solution. Contact us anytime for technical information, samples, or formulation support to create better waterborne solutions together.

